最佳答案1,一元二次方程的公式2,使用公式求解公式:D2单元格公式:“=B3*B3-4*B2*B4”G2单元格公式:“=IFERROR((-$B$3+SQRT($D$2))/(2*$B$2),”无解”)”G3单元格公式:“=IFERROR((-$B$3-SQRT($D$2))/(2*......
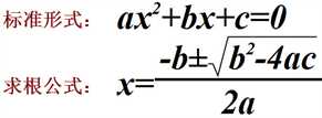
1,一元二次方程的公式

2,使用公式求解

公式:
D2单元格公式:“=B3*B3-4*B2*B4”
G2单元格公式:
“=IFERROR((-$B$3+SQRT($D$2))/(2*$B$2),”无解”)”
G3单元格公式:
“=IFERROR((-$B$3-SQRT($D$2))/(2*$B$2),”无解”)”
这个是只计算实数解,如“Δ”小于0,直接返回“无解”。其中SQRT()函数为求平方根函数。
3,含复数的解
其实当“Δ”小于0的时候,方程一样是有解的,只不过是复数解。
具体如下:

公式:
D2单元格公式:“=B3*B3-4*B2*B4”
G2单元格公式:
“=IF($D$2>=0,(-$B$3+SQRT($D$2))/(2*$B$2),(-$B$3)/(2*$B$2)&”+”&ROUND(SQRT(ABS($D$2))/(2*$B$2),3)&”i”)”
G3单元格公式:
“=IF($D$2>=0,(-$B$3-SQRT($D$2))/(2*$B$2),(-$B$3)/(2*$B$2)&”-“&ROUND(SQRT(ABS($D$2))/(2*$B$2),3)&”i”)”